B4J Tutorial See whether (and where) circles intersect

Using B4XCanvas and DrawCircle, and geometry laws, we can test whether two given circles intersect or not.
If they intersect the points of intersections are returned.

Circle Equations​

Assuming two circles with:
1729171213621.png

The intersection points (if they exist) can be calculated as follows:

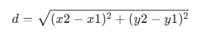
  1. Calculate Distance Between Circle Centers:
    1729170700000.png
  2. Check for Intersection:
    • 1729170856720.png
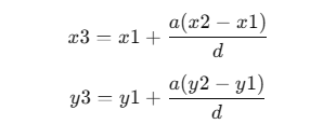
  3. Calculate Intersection Points:
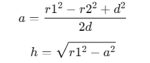
    • Calculate a and h, which determine the position of the intersection points.
    • 1729170774140.png
    • Determine the points P2 as the base point on the line between the centers of the circles:
    • 1729171745845.png
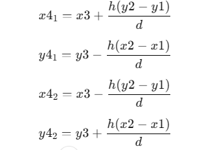
    • Find the offset points to get the intersection points:
    • 1729171781353.png
Translate this into b4j:
B4X:
Sub FindIntersectionPoints(x1 As Double, y1 As Double, r1 As Double, x2 As Double, y2 As Double, r2 As Double) As List
    Dim result As List
    result.Initialize
 
    Dim d As Double = Sqrt(Power(x2 - x1, 2) + Power(y2 - y1, 2))
 
    ' Check if circles intersect
    If d > r1 + r2 Or d < Abs(r1 - r2) Then
        Log("No intersection points.")
        Return result
    End If

    ' Calculate a and h
    Dim a As Double = (Power(r1, 2) - Power(r2, 2) + Power(d, 2)) / (2 * d)
    Dim h As Double = Sqrt(Power(r1, 2) - Power(a, 2))
 
    ' Calculate the base point on the line between the circles' centers
    Dim x3 As Double = x1 + a * (x2 - x1) / d
    Dim y3 As Double = y1 + a * (y2 - y1) / d
 
    ' Calculate the two intersection points
    Dim x4_1 As Double = x3 + h * (y2 - y1) / d
    Dim y4_1 As Double = y3 - h * (x2 - x1) / d
 
    Dim x4_2 As Double = x3 - h * (y2 - y1) / d
    Dim y4_2 As Double = y3 + h * (x2 - x1) / d
 
    ' Add the points to the result list
    result.Add(CreateMap("x" : x4_1, "y" : y4_1))
    result.Add(CreateMap("x" : x4_2, "y" : y4_2))
 
    Return result
End Sub

You can call this function and then draw the intersection points on the canvas:

B4X:
Sub DrawIntersections
    Dim x1 As Double = 100, y1 As Double = 100, r1 As Double = 75
    Dim x2 As Double = 150, y2 As Double = 100, r2 As Double = 75
    Dim intersections As List = FindIntersectionPoints(x1, y1, r1, x2, y2, r2)
 
    Dim cvs As B4XCanvas
    cvs.Initialize(mainForm.rootPane)
    cvs.DrawCircle(x1, y1, r1, xui.Color_Blue, False, 2dip)
    cvs.DrawCircle(x2, y2, r2, xui.Color_Red, False, 2dip)
 
    For Each p As Map In intersections
        Dim px As Double = p.Get("x")
        Dim py As Double = p.Get("y")
        cvs.DrawCircle(px, py, 5dip, xui.Color_Green, True, 1dip)
    Next
 
    cvs.Refresh
End Sub
 

Attachments

  • 1729170810414.png
    1729170810414.png
    12.6 KB · Views: 364
  • 1729171716553.png
    1729171716553.png
    150.4 KB · Views: 346
Last edited:

TILogistic

Expert
Licensed User
Longtime User
A tutorial to understand collision detection
 
Top